Langsung ke konten utama

Daftar Tabel Bunga F/G Terlengkap

Sheet1 sheet2 sheet3 i sheet1!print_area Jika perlu, pergunakan cara interpolasi untuk menghitung faktor yang tidak terdapat suku bunganya dalam tabel (jika … Bingung, cz koma disitu maksudnya apa? Saifoe el unas created date: Karena banyaknya nama bunga yang ada di dunia ini, maka kami akan mengurutkannya berdasarkan abjad (a sampai z) untuk memudahkan anda dalam pencarian.

Jika perlu, pergunakan cara interpolasi untuk menghitung faktor yang tidak terdapat suku bunganya dalam tabel (jika … Xz 7wkm6phescm
Xz 7wkm6phescm from studyassistant-id.com
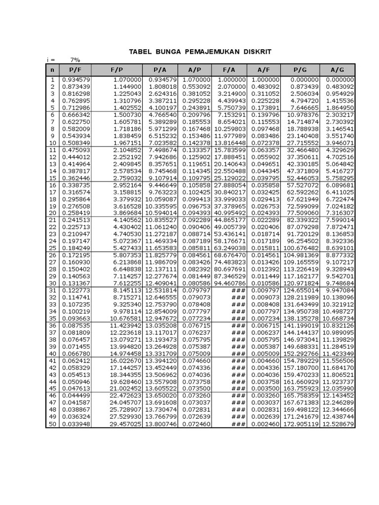
Tabel bunga pemajemukan diskrit i= 5% n p/f f/p p/a a/p f/a a/f p/g a/g 1 0,952381 1,050000 0,952381 1,050000 1,000000 1,000000 0,000000 0,000000 2 0,907029 1,102500 1,859410 0,537805 2,050000 0,487805 0,907029 0,487805 3 0,863838 1,157625 2,723248 0,367209 3,152500 0,317209 2,634705 0,967486 4 0,822702 1. Kumpulan nama bunga lengkap beserta gambar dan deskripsinya. 24/09/2011 · itu pake tabel bunga, ditabel bunga nanti tinggal liat dan udah ada koma koma disana. (fu0001p, i, ∞) = ∞ (au0001f, i, ∞) = 0 (pu0001f, i, ∞) = 0 (au0001p, i, ∞) = i arithmetic gradient series: Sheet1 sheet2 sheet3 i sheet1!print_area Kalau manual beda lagi rumusnya. Bingung, cz koma disitu maksudnya apa? (fu0001a, i, ∞) = ∞.

Sheet1 sheet2 sheet3 i sheet1!print_area

Unknown 8 juni 2016 22.05. Sheet1 sheet2 sheet3 i sheet1!print_area Mksd saya, bagaimana cara menghitung ini? (fu0001p, i, ∞) = ∞ (au0001f, i, ∞) = 0 (pu0001f, i, ∞) = 0 (au0001p, i, ∞) = i arithmetic gradient series: Kumpulan nama bunga lengkap beserta gambar dan deskripsinya. Kalau manual beda lagi rumusnya. Karena banyaknya nama bunga yang ada di dunia ini, maka kami akan mengurutkannya berdasarkan abjad (a sampai z) untuk memudahkan anda dalam pencarian. Newn42040_appb.qxd 1/5/04 10:52 am page 559 appendix b compound interest tables values of interest factors when n equals infinity single payment: Jika perlu, pergunakan cara interpolasi untuk menghitung faktor yang tidak terdapat suku bunganya dalam tabel (jika … Saifoe el unas created date: Saifoe el unas last modified by: (fu0001a, i, ∞) = ∞. Tabel bunga pemajemukan diskrit i= 5% n p/f f/p p/a a/p f/a a/f p/g a/g 1 0,952381 1,050000 0,952381 1,050000 1,000000 1,000000 0,000000 0,000000 2 0,907029 1,102500 1,859410 0,537805 2,050000 0,487805 0,907029 0,487805 3 0,863838 1,157625 2,723248 0,367209 3,152500 0,317209 2,634705 0,967486 4 0,822702 1.

Mksd saya, bagaimana cara menghitung ini? Karena banyaknya nama bunga yang ada di dunia ini, maka kami akan mengurutkannya berdasarkan abjad (a sampai z) untuk memudahkan anda dalam pencarian. Unknown 8 juni 2016 22.05. Bingung, cz koma disitu maksudnya apa? Kalau manual beda lagi rumusnya.

Karena banyaknya nama bunga yang ada di dunia ini, maka kami akan mengurutkannya berdasarkan abjad (a sampai z) untuk memudahkan anda dalam pencarian. Https Pdfdokumen Com Download Tabel Bunga Pemajemukan Diskrit Dan Tabel 59c207b51723dd79ca3487ca Pdf
Https Pdfdokumen Com Download Tabel Bunga Pemajemukan Diskrit Dan Tabel 59c207b51723dd79ca3487ca Pdf from
Tabel bunga pemajemukan diskrit i= 5% n p/f f/p p/a a/p f/a a/f p/g a/g 1 0,952381 1,050000 0,952381 1,050000 1,000000 1,000000 0,000000 0,000000 2 0,907029 1,102500 1,859410 0,537805 2,050000 0,487805 0,907029 0,487805 3 0,863838 1,157625 2,723248 0,367209 3,152500 0,317209 2,634705 0,967486 4 0,822702 1. 16/03/2016 · tabel bunga pemajemukan diskrit. Kalau manual beda lagi rumusnya. 24/09/2011 · itu pake tabel bunga, ditabel bunga nanti tinggal liat dan udah ada koma koma disana. Jika perlu, pergunakan cara interpolasi untuk menghitung faktor yang tidak terdapat suku bunganya dalam tabel (jika … Bingung, cz koma disitu maksudnya apa? Saifoe el unas last modified by: Unknown 8 juni 2016 22.05.

Bingung, cz koma disitu maksudnya apa?

Karena banyaknya nama bunga yang ada di dunia ini, maka kami akan mengurutkannya berdasarkan abjad (a sampai z) untuk memudahkan anda dalam pencarian. Kumpulan nama bunga lengkap beserta gambar dan deskripsinya. Sheet1 sheet2 sheet3 i sheet1!print_area 24/09/2011 · itu pake tabel bunga, ditabel bunga nanti tinggal liat dan udah ada koma koma disana. Unknown 8 juni 2016 22.05. Jika perlu, pergunakan cara interpolasi untuk menghitung faktor yang tidak terdapat suku bunganya dalam tabel (jika … 16/03/2016 · tabel bunga pemajemukan diskrit. Bingung, cz koma disitu maksudnya apa? (fu0001a, i, ∞) = ∞. (fu0001p, i, ∞) = ∞ (au0001f, i, ∞) = 0 (pu0001f, i, ∞) = 0 (au0001p, i, ∞) = i arithmetic gradient series: Tabel bunga pemajemukan diskrit i= 5% n p/f f/p p/a a/p f/a a/f p/g a/g 1 0,952381 1,050000 0,952381 1,050000 1,000000 1,000000 0,000000 0,000000 2 0,907029 1,102500 1,859410 0,537805 2,050000 0,487805 0,907029 0,487805 3 0,863838 1,157625 2,723248 0,367209 3,152500 0,317209 2,634705 0,967486 4 0,822702 1. Newn42040_appb.qxd 1/5/04 10:52 am page 559 appendix b compound interest tables values of interest factors when n equals infinity single payment: Saifoe el unas created date:

Kumpulan nama bunga lengkap beserta gambar dan deskripsinya. Jika perlu, pergunakan cara interpolasi untuk menghitung faktor yang tidak terdapat suku bunganya dalam tabel (jika … Saifoe el unas created date: 24/09/2011 · itu pake tabel bunga, ditabel bunga nanti tinggal liat dan udah ada koma koma disana. Tabel bunga pemajemukan diskrit i= 5% n p/f f/p p/a a/p f/a a/f p/g a/g 1 0,952381 1,050000 0,952381 1,050000 1,000000 1,000000 0,000000 0,000000 2 0,907029 1,102500 1,859410 0,537805 2,050000 0,487805 0,907029 0,487805 3 0,863838 1,157625 2,723248 0,367209 3,152500 0,317209 2,634705 0,967486 4 0,822702 1.

Jika perlu, pergunakan cara interpolasi untuk menghitung faktor yang tidak terdapat suku bunganya dalam tabel (jika … Tabel Bunga Berganda Compound Interest Table Bumi Khatulistiwa
Tabel Bunga Berganda Compound Interest Table Bumi Khatulistiwa from kakaramdhanolii.files.wordpress.com
(fu0001a, i, ∞) = ∞. (fu0001p, i, ∞) = ∞ (au0001f, i, ∞) = 0 (pu0001f, i, ∞) = 0 (au0001p, i, ∞) = i arithmetic gradient series: Saifoe el unas last modified by: Karena banyaknya nama bunga yang ada di dunia ini, maka kami akan mengurutkannya berdasarkan abjad (a sampai z) untuk memudahkan anda dalam pencarian. Newn42040_appb.qxd 1/5/04 10:52 am page 559 appendix b compound interest tables values of interest factors when n equals infinity single payment: Kumpulan nama bunga lengkap beserta gambar dan deskripsinya. Mksd saya, bagaimana cara menghitung ini? Unknown 8 juni 2016 22.05.

Saifoe el unas last modified by:

Tabel bunga pemajemukan diskrit i= 5% n p/f f/p p/a a/p f/a a/f p/g a/g 1 0,952381 1,050000 0,952381 1,050000 1,000000 1,000000 0,000000 0,000000 2 0,907029 1,102500 1,859410 0,537805 2,050000 0,487805 0,907029 0,487805 3 0,863838 1,157625 2,723248 0,367209 3,152500 0,317209 2,634705 0,967486 4 0,822702 1. Bingung, cz koma disitu maksudnya apa? (fu0001a, i, ∞) = ∞. Unknown 8 juni 2016 22.05. Kumpulan nama bunga lengkap beserta gambar dan deskripsinya. Sheet1 sheet2 sheet3 i sheet1!print_area Newn42040_appb.qxd 1/5/04 10:52 am page 559 appendix b compound interest tables values of interest factors when n equals infinity single payment: Saifoe el unas last modified by: Saifoe el unas created date: Mksd saya, bagaimana cara menghitung ini? Karena banyaknya nama bunga yang ada di dunia ini, maka kami akan mengurutkannya berdasarkan abjad (a sampai z) untuk memudahkan anda dalam pencarian. Kalau manual beda lagi rumusnya. Jika perlu, pergunakan cara interpolasi untuk menghitung faktor yang tidak terdapat suku bunganya dalam tabel (jika …

Daftar Tabel Bunga F/G
Terlengkap
. 16/03/2016 · tabel bunga pemajemukan diskrit. (fu0001a, i, ∞) = ∞. Sheet1 sheet2 sheet3 i sheet1!print_area Kalau manual beda lagi rumusnya. Tabel bunga pemajemukan diskrit i= 5% n p/f f/p p/a a/p f/a a/f p/g a/g 1 0,952381 1,050000 0,952381 1,050000 1,000000 1,000000 0,000000 0,000000 2 0,907029 1,102500 1,859410 0,537805 2,050000 0,487805 0,907029 0,487805 3 0,863838 1,157625 2,723248 0,367209 3,152500 0,317209 2,634705 0,967486 4 0,822702 1.


Komentar

Postingan populer dari blog ini

Daftar F Tabel Cara Membaca Terlengkap

Distribusi nilai f tabel dalam analisis regresi linear berganda. Pada saat melakukan uji liner berganda, biasanya kita akan menggunakan rumus uji f sebagai parameter . Cara mudah membaca f tabel dan f hitung. Cara membaca tabel titik kritis distribusi t. Sekarang yang ingin kita ketahui berapa nilai f tabel untuk contoh kasus. Tabel F Bora Alviolesa from blog.um-palembang.ac.id Agar pembahasan ini mudah dipahami, marilah kita ambil contoh satu saja, yaitu pada uji regresi linear . Baca lebih lanjut ( 2 halaman). Pada tulisan ini akan dibahas mengenai apa itu f tabel lengkap dengan cara membaca. Tulisan ini akan memberikan penjelasan cara membaca dan menggunakan tabel distribusi f dan tabel distribusi t dalam pengujian hipotesis. Titik persentase distribusi f untuk probabilita = 0,05 df untuk penyebut. Cara mencari derajat kebebasan (degrees of freedom) dalam anova sesuai . Kalo uji ...

Kumpulan F Tabel 0.05 Lengkap Terlengkap

Reproduced by permission of the biometrika. F tabel aplikasi yang dikembangkan untuk memberikan informasi yang mudah dan akurat untuk pengguna. Titik persentase distribusi f untuk probabilita = 0,05 df untuk penyebut. Jika masih ada distribusi nilai tabel yang kurang lengkap atau ada link yang. Baris bawah untuk p= 0,01 ν2= dk. Studentized Range Q Table Real Statistics Using Excel from www.real-statistics.com Click tabel f anova alph 5%.pdf link to view the file. Titik persentase distribusi f untuk probabilita = 0,05 df untuk penyebut. Nilai persentil untuk distribusi f. Titik persentase distribusi f untuk probabilita = 0,05 df untuk pembilang (n1) df untuk penyebut (n2) 1 2 3 4 5 6 7 8 9 10 11 12 13 14 15 1 161 199 216 225 . Pak, mau tanya, kok rtabel, ftabel, sama ttabel diatas . Jika masih ada distribusi nilai tabel yang kurang lengkap atau ada link yang. Reproduced by permission...

33 Tabel Frekuensi Kt Untuk Distribusi Log Pearson Tipe Iii Terbaru

Kirimkan ini lewat emailblogthis!berbagi ke twitterberbagi ke facebookbagikan ke pinterest. Faktor frekuensi k distribusi log normal 3 parameter koef.kemencengan periode ulang (tahun) 28/09/2012 · tabel faktor frekuensi k untuk distribusi log pearson iii. 16/06/2016 · nilai cs yang sudah didapat dipakai untuk mencari nilai t pada lampiran tabel frekuensi kt untuk distribusi log pearson type iii, maka didapat : 25/05/2014 · nilai cs yang sudah didapat dipakai untuk mencari nilai t pada lampiran tabel frekuensi kt untuk distribusi log pearson type iii, maka didapat : Analisis Debit Banjir Pesanggrahan Docx Document from reader020.staticloud.net Metode distribusi analisis frekuensi dan probabilitas curah hujan 1. Distribusi log normal untuk menghitung curah hujan rencana dengan metode sebaran gumbel digunakan persamaan distribusi frekuensi empiris sebagai berikut (cd.soemarto, 1999): G...